
Blog
Tesisatta Çatlama ve Sızdırmalara Karşı PPR Boru Kullanımının Faydaları Nedir ?
Bina içi sıhhi tesisat ve ısıtma şebekelerinde hidrolik bütünlüğün sağlanması, akışkan transferinin temel mühendislik hedefini oluşturur. Ancak sistemin maruz kaldığı termal dalgalanmalar, mekanik şoklar ve malzeme yorulması (fatigue), zamanla boru hatlarında mikro-çatlaklara ve sızıntılara yol açabilir.
Polipropilen Random Kopolimer (PPR) borular, sahip oldukları spesifik makromoleküler formu sayesinde bu yapısal zayıflıkları moleküler düzeyde elimine eden bir polimer teknolojisidir.
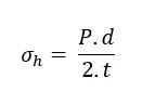
Tesisatlarda Çatlama Neden Meydana Gelir?Boru hatlarındaki çatlama ve patlama mekanizmaları, malzemenin akma dayanımını (yield strength) aşan çevresel ve eksenel gerilmelerden kaynaklanır. Bir boru cidarında iç basınç (P) nedeniyle oluşan çevresel gerilme (hoop stress, ), ince cidarlı silindirler için Barlow Formülü ile ifade edilir:
Geleneksel metal borular veya düşük kaliteli rijit plastikler, ani basınç artışlarında (su koçu etkisi) veya termal genleşme/büzülme döngülerinde bu gerilmeyi sönümleyemez. Ayrıca, kış aylarında tesisat içindeki suyun donması durumunda faz değişimi nedeniyle hacmi yaklaşık %9 oranında artar. Bu hacimsel genleşme, rijit boru cidarında devasa bir radyal iç basınç yaratarak malzemenin gevrek kırılmasına ve boylamsal eksende boydan boya çatlamasına neden olur.
PPR Boruların Yüksek Basınç ve Darbe DayanımıPPR (Polipropilen Random Kopolimer) malzemenin asıl mühendislik avantajı, polipropilen zincirleri arasına rastgele (random) dağıtılmış etilen moleküllerinde gizlidir. Bu kopolimerizasyon işlemi, malzemenin kristalinitesini belirli bir oranda kırarak ona olağanüstü bir viskoelastik tokluk (toughness) kazandırır.
Bu özellik, borunun su koçu (water hammer) gibi ani basınç dalgalanmalarında darbe enerjisini absorbe etmesini ve elastik bölge sınırları içerisinde geçici olarak esnemesini sağlar. Aynı zamanda, suyun donması durumunda hacimsel genleşmeyi tolere edebilecek elastisite modülüne sahip olduğundan, metal borulardaki donma kaynaklı patlama risklerini tamamen ortadan kaldırır. PPR borular, yüksek sıcaklıklarda (örneğin 70°C ve üzeri sıcak su hatlarında) dahi yüksek nominal basınç (PN) değerlerini koruyarak uzun süreli hidrostatik dayanım sergiler.
Sızdırmaz Ek Parça Teknolojisinin ÖnemiBir tesisat sisteminin en zayıf halkaları her zaman bağlantı noktalarıdır (fitting arayüzeyleri). Contalı (mekanik) veya dişli metalik birleştirmeler; zamanla korozyon, titreşim ve termal döngüler nedeniyle sızdırmazlık elemanlarının viskoelastik özelliklerini yitirmesiyle (stress relaxation) damlatmaya başlar.
PPR sistemlerinde ise bu mekanik zafiyet, polifüzyon (soket kaynağı) teknolojisi ile kullanılır. Boru ve ek parça, moleküler erime sıcaklığına (260°C) getirilerek birleştirilir. Soğuma fazının ardından polimer zincirleri birbirine tamamen difüze olur (interdiffusion).
Bu temel füzyon işlemi sayede bağlantı noktası, borunun kendi gövdesinden daha yüksek bir kesit alanına ve mekanik dayanıma sahip tek bir homojen kütleye (monolitik yapı) dönüşür. Sistemde zamanla yorulacak, çürüyecek veya gevşeyecek bir sızdırmazlık contası bulunmadığından, bağlantı noktalarındaki sızıntı riski sıfıra iner.
Bina Ömrü Boyunca Kesintisiz PerformansPPR borular, suyun içindeki serbest oksijen, klor iyonları veya asidik/bazik karakterli kimyasallarla reaksiyona girmeyerek tam bir kimyasal inertlik sunar. Bu moleküler kararlılık, metal tesisatlarda kaçınılmaz olan galvanik korozyonu ve iç cidar kireçlenmesini (tüberkül formasyonu) engeller.
İç çap daralmadığı ve hidrolik pürüzsüzlük ilk günkü gibi kaldığı için boru hattı, bina ömrü boyunca (minimum 50 yıl) pompalarda veya kombilerde ekstra bir hidrolik yük kaybı (head loss) yaratmadan kesintisiz performans gösterir. Çevresel stres çatlamasına (ESCR) karşı gösterdiği yüksek direnç, yapıların hacimlerinde gizli sızıntılardan kaynaklanabilecek devasa yapısal hasarları ve yüksek onarım maliyetlerini önler.
İlgili Yazılar

Plastik Boru Çeşitleri Nedir ?
Altyapı, üstyapı ve endüstriyel tesis projelerinde kullanılacak plastik boru büyük önem taşır.

Plastik Boru Çatlak Tamiri
Plastik boru sistemlerinde (PE, PVC, PPRC veya CTP) meydana gelen çatlaklar, her zaman kaynak veya parça değişimi gerektirmez.…

Çek Valf Nedir Ve Nasıl Çalışır?
Çek valfler çalışmak için harici enerji kaynağına ihtiyaç duymamaktadır.
